프로그래머스 > 코딩테스트 연습 > 깊이/너비 우선 탐색(DFS/BFS) > 타겟 넘버
https://school.programmers.co.kr/learn/courses/30/lessons/43165
📒 문제
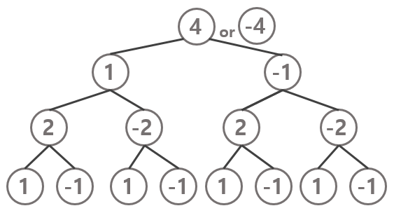
n개의 음이 아닌 정수들이 있습니다. 이 정수들을 순서를 바꾸지 않고 적절히 더하거나 빼서 타겟 넘버를 만들려고 합니다. 예를 들어 [1, 1, 1, 1, 1]로 숫자 3을 만들려면 다음 다섯 방법을 쓸 수 있습니다.
-1+1+1+1+1 = 3
+1-1+1+1+1 = 3
+1+1-1+1+1 = 3
+1+1+1-1+1 = 3
+1+1+1+1-1 = 3
사용할 수 있는 숫자가 담긴 배열 numbers, 타겟 넘버 target이 매개변수로 주어질 때 숫자를 적절히 더하고 빼서 타겟 넘버를 만드는 방법의 수를 return 하도록 solution 함수를 작성해주세요.
제한사항
- 주어지는 숫자의 개수는 2개 이상 20개 이하입니다.
- 각 숫자는 1 이상 50 이하인 자연수입니다.
- 타겟 넘버는 1 이상 1000 이하인 자연수입니다.
입출력 예
| numbers | target | return |
| [1, 1, 1, 1, 1] | 3 | 5 |
| [4, 1, 2, 1] | 4 | 2 |
입출력 예 설명
입출력 예 #1
- 문제 예시와 같습니다.
입출력 예 #2
+4+1-2+1 = 4
+4-1+2-1 = 4
- 총 2가지 방법이 있으므로, 2를 return 합니다.
💻 소스코드
using System;
public class Solution {
// len: 배열 길이, tar: target
int len, tar;
int answer = 0;
// sum: 합, i: index
void DFS(int sum, int i, int[]numbers)
{
if(i < len)
{
DFS(sum+numbers[i], i+1, numbers);
DFS(sum-numbers[i], i+1, numbers);
}
// i == len 일때
else if(sum == tar)
{
answer++;
}
}
public int solution(int[] numbers, int target) {
len = numbers.Length;
tar = target;
DFS(0, 0, numbers);
return answer;
}
}
📝 풀이
DFS 알고리즘을 이용해서 문제를 해결하였다.

DFS함수를 재귀함수로 이용했고, 매개변수에 sum(합계), i(인덱스)를 증가시켜 마지막 인덱스까지 확인하였다.
마지막 인덱스를 더하고 나서는 sum의 값이 target과 같은지 확인해서 answer++를 해주었다.
관련 포스팅
[알고리즘] 깊이 우선 탐색 (DFS, Depth-First Search)
이번 포스팅은 그래프를 탐색하는 알고리즘 중 하나인 깊이 우선 탐색(DFS)에 대해 알아보려고 한다. [자료구조] 그래프 (Graph)그래프라고 하면 원 그래프나 막대 그래프, 혹은 수학의 y=f(x) 그래
twd0622.tistory.com
[알고리즘] 깊이 우선 탐색, DFS(Deep-First Search) 코드 구현
깊이 우선 탐색에 대한 개념은 아래의 포스팅을 참조하면 된다. [알고리즘] 깊이 우선 탐색 (DFS, Depth-First Search)이번 포스팅은 그래프를 탐색하는 알고리즘 중 하나인 깊이 우선 탐색(DFS)에 대해
twd0622.tistory.com
'코딩 테스트 > 프로그래머스 [C#]' 카테고리의 다른 글
| [C#][프로그래머스][Lv2] 게임 맵 최단거리 (0) | 2025.02.19 |
|---|---|
| [C#][프로그래머스][Lv2] 무인도 여행 (0) | 2025.02.19 |
| [C#][프로그래머스][Lv2] 과제 진행하기 (0) | 2025.02.12 |
| [C#][프로그래머스][Lv1] 예산 (0) | 2025.02.11 |
| [C#][프로그래머스][Lv2] 연속 부분 수열 합의 개수 (0) | 2025.02.10 |